AI Legal Chatbot
Documents
Cases
Laws
Law Firms
Add Law Firm
LPMS
Quizzes
Login
Join
Affidavit for Change of Motor Vehicle Color
Affidavit
Affidavit Template - Action Required
This is a professionally drafted affidavit template only. You must have it sworn and stamped by a Commissioner for Oaths or Notary Public after purchase.
Document Type
Microsoft Word (Editable)
Pages
1
Price:
KES 400
Get Document Now
After download, take this document to a Commissioner for Oaths or Notary Public for swearing and stamping.
Professionally Drafted
Fully Customizable
12,000+ Happy Customers
Instant Delivery
Document Overview
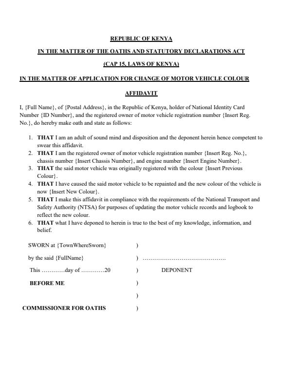
This is a sworn legal statement made by the registered owner of a motor vehicle, declaring that they have repainted or resprayed their vehicle and requesting that the official records (logbook) be updated to reflect the new colour.
The affidavit is prepared and signed before a Commissioner for Oaths/Advocate and then submitted together with other documents (logbook, ID, NTSA application) when applying for a Change of Particulars through NTSA.
Purpose:
1. Provides a sworn declaration that the owner personally authorized and carried out the repainting of the vehicle.
2. Supports the application for updating the logbook so that NTSA can issue a corrected record reflecting the new colour.
3. Helps prevent misuse of vehicles by ensuring that any major appearance change (like colour) is formally declared and linked to the rightful owner.
4. Ensures that the motor vehicle records remain accurate, in line with the Traffic Act and NTSA procedures.
Document Preview Below
Purchase now
to receive the complete document instantly.
Preview
End of Preview
Purchase now
to access the complete document.
Related Legal Documents
Affidavit for Voluntary Surrender of Shares
An Affidavit for Surrender of Shares in Kenya is a sworn written statement made by a shareholder before a Commissioner for Oaths or Notary Public...
Affidavit for Renewal of Engineers Licence
An Affidavit for Renewal of Engineer’s Licence is a sworn written statement made by an engineer in Kenya, before a Commissioner for Oaths or Notary...
Affidavit of Resignation by a Partner
An Affidavit of Resignation by a Partner is a sworn legal document made by a partner in a business or professional firm (registered under the...
Affidavit for Change of Director Particulars
An Affidavit for Change of Director’s Particulars is a sworn legal declaration made by a company director before a Commissioner for Oaths or Notary...
Affidavit for Removal of Wrong Tax Obligations on KRA Pin
An Affidavit for Removal of Wrong Tax Obligations on a KRA PIN is a sworn statement made before a Commissioner for Oaths in Kenya, where a taxpayer...
Affidavit of Good Conduct
An Affidavit of Good Conduct is a sworn statement made by an individual before a Commissioner for Oaths and serves as a substitute (or temporary...
View All Documents
Share this document with your network
Get this document instantly
Get Now