AI Legal Chatbot
Documents
Cases
Laws
Law Firms
Add Law Firm
LPMS
Quizzes
Login
Join
Affidavit of Resignation by a Partner
Affidavit
Affidavit Template - Action Required
This is a professionally drafted affidavit template only. You must have it sworn and stamped by a Commissioner for Oaths or Notary Public after purchase.
Document Type
Microsoft Word (Editable)
Pages
1
Price:
KES 400
Get Document Now
After download, take this document to a Commissioner for Oaths or Notary Public for swearing and stamping.
Professionally Drafted
Fully Customizable
12,000+ Happy Customers
Instant Delivery
Document Overview
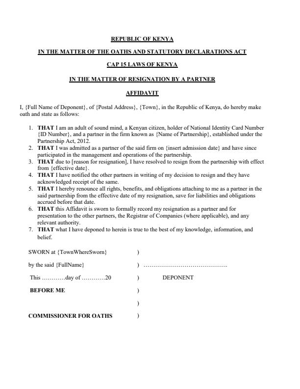
An Affidavit of Resignation by a Partner is a sworn legal document made by a partner in a business or professional firm (registered under the Partnership Act, 2012 or otherwise) declaring that they are resigning from the partnership.
It is sworn before a Commissioner for Oaths or Notary Public and serves as formal evidence of resignation.
It normally includes:
1. The partner’s personal details (name, ID, address).
2. The name of the partnership.
3. The admission date and the effective resignation date.
4. A declaration that the partner is giving up all rights, roles, and responsibilities in the firm after resignation.
5. Confirmation that liabilities before resignation remain acknowledged.
Purpose
1. It acts as proof that a partner has lawfully withdrawn from a partnership.
2. It clearly sets the date when their rights and obligations in the firm end, avoiding future liability.
3. It prevents disputes by ensuring there is a sworn declaration of resignation.
4. It may be presented to the Registrar of Companies or relevant authorities to update the firm’s records.
5. Since it is sworn under oath, it carries legal weight in case of disputes or litigation.
Document Preview Below
Purchase now
to receive the complete document instantly.
Preview
End of Preview
Purchase now
to access the complete document.
Related Legal Documents
Affidavit for Change of Director Particulars
An Affidavit for Change of Director’s Particulars is a sworn legal declaration made by a company director before a Commissioner for Oaths or Notary...
Affidavit for Removal of Wrong Tax Obligations on KRA Pin
An Affidavit for Removal of Wrong Tax Obligations on a KRA PIN is a sworn statement made before a Commissioner for Oaths in Kenya, where a taxpayer...
Affidavit of Good Conduct
An Affidavit of Good Conduct is a sworn statement made by an individual before a Commissioner for Oaths and serves as a substitute (or temporary...
Affidavit of Negation to Spousal Consent
An Affidavit of Negation to Spousal Consent is a sworn statement made by a person declaring that they are not married (single, divorced, or widowed),...
Affidavit of No Impediment to Marriage
An Affidavit of No Impediment to Marriage is a sworn legal declaration made before a Commissioner for Oaths (or Notary Public) stating that the...
Affidavit of Spousal Consent
An Affidavit of Spousal Consent is a sworn legal declaration made by a husband or wife confirming that they are aware of, and agree to, a proposed...
View All Documents
Share this document with your network
Get this document instantly
Get Now