AI Legal Chatbot
Documents
Cases
Laws
Law Firms
Add Law Firm
LPMS
Quizzes
Login
Join
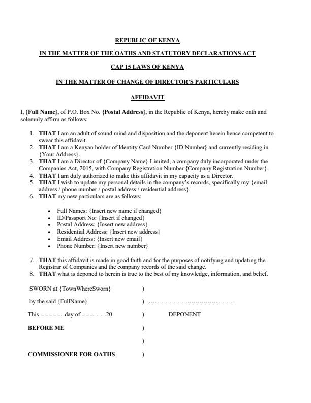
Affidavit for Change of Director Particulars
Affidavit
Affidavit Template - Action Required
This is a professionally drafted affidavit template only. You must have it sworn and stamped by a Commissioner for Oaths or Notary Public after purchase.
Document Type
Microsoft Word (Editable)
Pages
1
Price:
KES 400
Get Document Now
After download, take this document to a Commissioner for Oaths or Notary Public for swearing and stamping.
Professionally Drafted
Fully Customizable
12,000+ Happy Customers
Instant Delivery
Document Overview
An Affidavit for Change of Director’s Particulars is a sworn legal declaration made by a company director before a Commissioner for Oaths or Notary Public to formally confirm updates or corrections to their personal details that are recorded with the company and filed at the Registrar of Companies.
- A formal affidavit under the Oaths and Statutory Declarations Act (Cap 15, Laws of Kenya).
- It sets out the identity of the director and the specific particulars being changed (e.g., name, residential address, postal address, phone number, email, or ID/passport number).
- It is signed and sworn before a Commissioner for Oaths to give it legal authenticity.
Purpose:
1. It provides legal proof to the Registrar of Companies that the director has genuinely changed or corrected their details.
2. The Companies Act, 2015, requires companies to keep an up-to-date register of directors and file any changes (through Form CR8) with the Registrar.
3. The affidavit acts as supporting evidence for the company secretary, company registry, or banks when updating official records.
PROCESS
1. Fill in this form.
2. The affidavit is sworn before a Commissioner for oaths, Notary Public, Magistrate or Consular officer.
3. Upload the affidavit and form CR7 (Notice for Change of Particulars) on the Business Registration Services portal on e-citizen.
Document Preview Below
Purchase now
to receive the complete document instantly.
Preview
End of Preview
Purchase now
to access the complete document.
Related Legal Documents
Affidavit for Removal of Wrong Tax Obligations on KRA Pin
An Affidavit for Removal of Wrong Tax Obligations on a KRA PIN is a sworn statement made before a Commissioner for Oaths in Kenya, where a taxpayer...
Affidavit of Good Conduct
An Affidavit of Good Conduct is a sworn statement made by an individual before a Commissioner for Oaths and serves as a substitute (or temporary...
Affidavit of Negation to Spousal Consent
An Affidavit of Negation to Spousal Consent is a sworn statement made by a person declaring that they are not married (single, divorced, or widowed),...
Affidavit of No Impediment to Marriage
An Affidavit of No Impediment to Marriage is a sworn legal declaration made before a Commissioner for Oaths (or Notary Public) stating that the...
Affidavit of Spousal Consent
An Affidavit of Spousal Consent is a sworn legal declaration made by a husband or wife confirming that they are aware of, and agree to, a proposed...
Affidavit for Confirmation of Name Before Marriage by a Married Woman
This is a formal sworn statement made by a woman who is already married but needs to confirm her identity in relation to her names before the...
View All Documents
Share this document with your network
Get this document instantly
Get Now