AI Legal Chatbot
Documents
Cases
Laws
Law Firms
Add Law Firm
LPMS
Quizzes
Login
Join
Affidavit for Renewal of Engineers Licence
Affidavit
Affidavit Template - Action Required
This is a professionally drafted affidavit template only. You must have it sworn and stamped by a Commissioner for Oaths or Notary Public after purchase.
Document Type
Microsoft Word (Editable)
Pages
1
Price:
KES 400
Get Document Now
After download, take this document to a Commissioner for Oaths or Notary Public for swearing and stamping.
Professionally Drafted
Fully Customizable
12,000+ Happy Customers
Instant Delivery
Document Overview
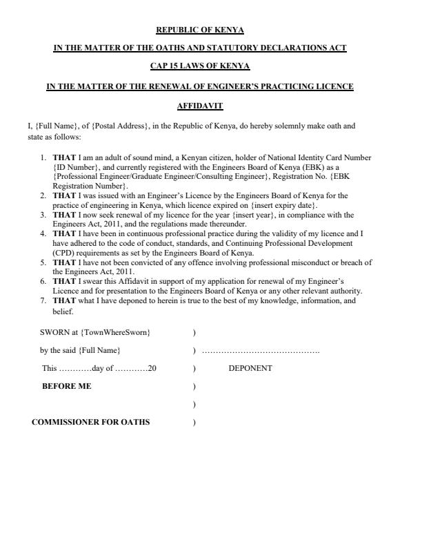
An Affidavit for Renewal of Engineer’s Licence is a sworn written statement made by an engineer in Kenya, before a Commissioner for Oaths or Notary Public, confirming facts that support their application to the Engineers Board of Kenya (EBK) for licence renewal.
It typically contains:
1. The engineer’s personal details (name, ID, address).
2. EBK registration details (registration number, category – e.g., Graduate Engineer, Professional Engineer, Consulting Engineer).
3. The expiry date of the previous licence.
4. A declaration that the engineer has complied with EBK requirements.
5. A confirmation of good standing (no professional misconduct or disqualification).
In summary, it is a supporting affidavit required by the Engineers Board of Kenya to renew an engineer’s practising licence, serving as proof of compliance, good standing, and lawful application.
PROCESS
• Fill in this affidavit.
• Sign before a Commissioner for oaths, Notary Public, Magistrate or Consular officer.
• Submit the affidavit together with application for renewal of practicing certificate to the Engineering Board of Kenya.
Download an editable document which you can customize to meet your needs.
Document Preview Below
Purchase now
to receive the complete document instantly.
Preview
End of Preview
Purchase now
to access the complete document.
Related Legal Documents
Affidavit of Resignation by a Partner
An Affidavit of Resignation by a Partner is a sworn legal document made by a partner in a business or professional firm (registered under the...
Affidavit for Change of Director Particulars
An Affidavit for Change of Director’s Particulars is a sworn legal declaration made by a company director before a Commissioner for Oaths or Notary...
Affidavit for Removal of Wrong Tax Obligations on KRA Pin
An Affidavit for Removal of Wrong Tax Obligations on a KRA PIN is a sworn statement made before a Commissioner for Oaths in Kenya, where a taxpayer...
Affidavit of Good Conduct
An Affidavit of Good Conduct is a sworn statement made by an individual before a Commissioner for Oaths and serves as a substitute (or temporary...
Affidavit of Negation to Spousal Consent
An Affidavit of Negation to Spousal Consent is a sworn statement made by a person declaring that they are not married (single, divorced, or widowed),...
Affidavit of No Impediment to Marriage
An Affidavit of No Impediment to Marriage is a sworn legal declaration made before a Commissioner for Oaths (or Notary Public) stating that the...
View All Documents
Share this document with your network
Get this document instantly
Get Now