AI Legal Chatbot
Documents
Cases
Laws
Law Firms
Add Law Firm
LPMS
Quizzes
Login
Join
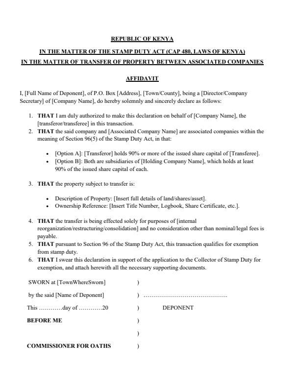
Affidavit for Application For Exemption From Stamp Duty (Transfer Of Property Between Associated Companies)
Affidavit
Affidavit Template - Action Required
This is a professionally drafted affidavit template only. You must have it sworn and stamped by a Commissioner for Oaths or Notary Public after purchase.
Document Type
Microsoft Word (Editable)
Pages
1
Price:
KES 400
Get Document Now
After download, take this document to a Commissioner for Oaths or Notary Public for swearing and stamping.
Professionally Drafted
Fully Customizable
12,000+ Happy Customers
Instant Delivery
Document Overview
It is a sworn statement made under oath by a director, company secretary, or other authorized officer of a company when seeking exemption from paying stamp duty on a transfer of property (land, shares, or other assets) between companies that are legally recognized as associated companies.
The affidavit is prepared pursuant to the Stamp Duty Act (Cap 480, Laws of Kenya) - specifically Section 96, which allows exemption if:
1. One company owns at least 90% of the shares in the other; or
2. Both companies are subsidiaries of the same parent company that owns at least 90% of each.
It is sworn before a Commissioner for Oaths and submitted to the Collector of Stamp Duty (KRA) alongside the application for exemption.
Document Preview Below
Purchase now
to receive the complete document instantly.
Preview
End of Preview
Purchase now
to access the complete document.
Related Legal Documents
Affidavit of Guardianship in Kenya
An Affidavit of Guardianship is a sworn statement made before a Commissioner for Oaths or Advocate in which a person (called the deponent) declares...
Affidavit of Acknowledgment of Paternity
An Affidavit of Acknowledgment of Paternity is a sworn statement made by a man declaring that he is the biological father of a child. It is signed...
Affidavit for Source of Funds
An Affidavit for Source of Funds is a sworn legal statement made before a Commissioner for Oaths, Advocate, or Magistrate declaring the origin of...
Affidavit for Name Change of a Minor
An Affidavit for Name Change of a Minor is a sworn legal statement made by a parent or legal guardian declaring the intention to change the name of a...
Affidavit for Lost Birth Certificate
An Affidavit for Loss of Birth Certificate is a sworn legal statement made by a person declaring that their original birth certificate has been lost,...
Affidavit for Discrepancy in Date of Birth Between the Birth Certificate and National Identity Card
An Affidavit for Correction of Date of Birth is a sworn legal document made under the Oaths and Statutory Declarations Act (Cap 15, Laws of Kenya). It...
View All Documents
Share this document with your network
Get this document instantly
Get Now