AI Legal Chatbot
Documents
Cases
Laws
Law Firms
Add Law Firm
LPMS
Quizzes
Login
Join
Affidavit of Guardianship in Kenya
Affidavit
Affidavit Template - Action Required
This is a professionally drafted affidavit template only. You must have it sworn and stamped by a Commissioner for Oaths or Notary Public after purchase.
Document Type
Microsoft Word (Editable)
Pages
1
Price:
KES 400
Get Document Now
After download, take this document to a Commissioner for Oaths or Notary Public for swearing and stamping.
Professionally Drafted
Fully Customizable
12,000+ Happy Customers
Instant Delivery
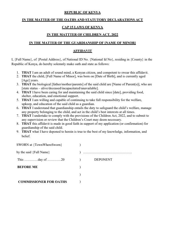
Document Overview
An Affidavit of Guardianship is a sworn statement made before a Commissioner for Oaths or Advocate in which a person (called the deponent) declares that they are the guardian of a child or intend to take responsibility for that child’s care and welfare.
It serves as formal evidence that the deponent accepts full responsibility for the custody, upbringing, and protection of a minor when the child’s parents are:
- deceased,
- incapacitated,
- absent, or
- otherwise unable to care for the child.
The affidavit is made under the authority of the Children Act, 2022, and sworn in accordance with the Oaths and Statutory Declarations Act (Cap 15, Laws of Kenya).
Document Preview Below
Purchase now
to receive the complete document instantly.
Preview
End of Preview
Purchase now
to access the complete document.
Related Legal Documents
Affidavit of Acknowledgment of Paternity
An Affidavit of Acknowledgment of Paternity is a sworn statement made by a man declaring that he is the biological father of a child. It is signed...
Affidavit for Source of Funds
An Affidavit for Source of Funds is a sworn legal statement made before a Commissioner for Oaths, Advocate, or Magistrate declaring the origin of...
Affidavit for Name Change of a Minor
An Affidavit for Name Change of a Minor is a sworn legal statement made by a parent or legal guardian declaring the intention to change the name of a...
Affidavit for Lost Birth Certificate
An Affidavit for Loss of Birth Certificate is a sworn legal statement made by a person declaring that their original birth certificate has been lost,...
Affidavit for Discrepancy in Date of Birth Between the Birth Certificate and National Identity Card
An Affidavit for Correction of Date of Birth is a sworn legal document made under the Oaths and Statutory Declarations Act (Cap 15, Laws of Kenya). It...
Affidavit of Forced Motor Vehicle Transfer
An Affidavit of Forced Motor Vehicle Transfer is a sworn written statement made by a vehicle purchaser to the National Transport and Safety Authority...
View All Documents
Share this document with your network
Get this document instantly
Get Now