AI Legal Chatbot
Documents
Cases
Laws
Law Firms
Add Law Firm
LPMS
Quizzes
Login
Join
Affidavit for Source of Funds
Affidavit
Affidavit Template - Action Required
This is a professionally drafted affidavit template only. You must have it sworn and stamped by a Commissioner for Oaths or Notary Public after purchase.
Document Type
Microsoft Word (Editable)
Pages
1
Price:
KES 400
Get Document Now
After download, take this document to a Commissioner for Oaths or Notary Public for swearing and stamping.
Professionally Drafted
Fully Customizable
12,000+ Happy Customers
Instant Delivery
Document Overview
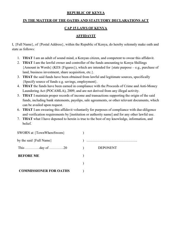
An Affidavit for Source of Funds is a sworn legal statement made before a Commissioner for Oaths, Advocate, or Magistrate declaring the origin of money being used in a financial or property transaction.
It serves as proof that the funds come from legitimate sources such as salary, business income, inheritance, sale of property, or savings — and not from illegal activities.
In Kenya, it is often required by:
- Banks and Sacco societies (for large deposits or transfers),
- Lawyers or land agents (during property purchases),
- Government agencies (for tendering or licensing), and
- Anti-money-laundering compliance departments (as per POCAMLA, 2009).
Purpose of an Affidavit for Source of Funds
- Prove Lawful Origin of Money
- Satisfy Regulatory Requirements
- Facilitate Property or Business Transactions
- Protect the Deponent Legally
Document Preview Below
Purchase now
to receive the complete document instantly.
Preview
End of Preview
Purchase now
to access the complete document.
Related Legal Documents
Affidavit for Name Change of a Minor
An Affidavit for Name Change of a Minor is a sworn legal statement made by a parent or legal guardian declaring the intention to change the name of a...
Affidavit for Lost Birth Certificate
An Affidavit for Loss of Birth Certificate is a sworn legal statement made by a person declaring that their original birth certificate has been lost,...
Affidavit for Discrepancy in Date of Birth Between the Birth Certificate and National Identity Card
An Affidavit for Correction of Date of Birth is a sworn legal document made under the Oaths and Statutory Declarations Act (Cap 15, Laws of Kenya). It...
Affidavit of Forced Motor Vehicle Transfer
An Affidavit of Forced Motor Vehicle Transfer is a sworn written statement made by a vehicle purchaser to the National Transport and Safety Authority...
Affidavit for Lost or Damaged Passport by Representative
An Affidavit for Lost or Damaged Passport by Representative is a sworn legal declaration made by an individual who is acting on behalf of the passport...
Affidavit for Lost Examination Certificate by Representative
An Affidavit for Lost Examination Certificate by Representative is a sworn written statement made under oath by a person (the representative) who is...
View All Documents
Share this document with your network
Get this document instantly
Get Now