AI Legal Chatbot
Documents
Cases
Laws
Law Firms
Add Law Firm
LPMS
Quizzes
Login
Join
Affidavit for Lost or Damaged Passport by Representative
Affidavit
Affidavit Template - Action Required
This is a professionally drafted affidavit template only. You must have it sworn and stamped by a Commissioner for Oaths or Notary Public after purchase.
Document Type
Microsoft Word (Editable)
Pages
1
Price:
KES 400
Get Document Now
After download, take this document to a Commissioner for Oaths or Notary Public for swearing and stamping.
Professionally Drafted
Fully Customizable
12,000+ Happy Customers
Instant Delivery
Document Overview
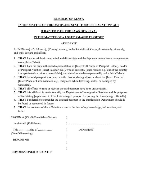
An Affidavit for Lost or Damaged Passport by Representative is a sworn legal declaration made by an individual who is acting on behalf of the passport holder (the owner of the passport). It is prepared when the passport holder cannot appear in person - for example, if they are out of the country, ill, a minor, or otherwise unavailable - and their passport has been lost, stolen, or damaged.
The affidavit is made before a Commissioner for Oaths or Notary Public under the Oaths and Statutory Declarations Act (Cap 15, Laws of Kenya). It formally reports the loss or damage and authorizes the representative to act in matters related to replacement or reporting.
Download an editable template which you can customize to meet your needs.
Document Preview Below
Purchase now
to receive the complete document instantly.
Preview
End of Preview
Purchase now
to access the complete document.
Related Legal Documents
Affidavit for Lost Examination Certificate by Representative
An Affidavit for Lost Examination Certificate by Representative is a sworn written statement made under oath by a person (the representative) who is...
Affidavit for Lost Certificate of Incorporation of a Trust
An Affidavit for Loss of Certificate of Incorporation of a Trust is a sworn written statement made by a trustee or an authorized representative of a...
Affidavit for Inclusion of Next of Kin in Social Health Insurance Fund
An Affidavit for Inclusion into SHIF is a sworn written declaration made before a Commissioner for Oaths by a member of the Social Health Insurance...
Affidavit for M-Pesa Next of Kin Claim in Kenya
Download a professionally drafted Affidavit for M-Pesa Next of Kin Claim in Kenya. This legal document supports claims by relatives of a deceased...
Affidavit for Change of Religion
An Affidavit for Change of Religion is a sworn legal document made before a Commissioner for Oaths in which a person formally declares that they have...
Affidavit for Change of Motor Vehicle Body Type
An Affidavit for Change of Motor Vehicle Body Type is a sworn statement made by a vehicle owner declaring that the structure or classification of...
View All Documents
Share this document with your network
Get this document instantly
Get Now