AI Legal Chatbot
Documents
Cases
Laws
Law Firms
Add Law Firm
LPMS
Quizzes
Login
Join
Letter of Award (Construction Works)
Document Type
Microsoft Word (Editable)
Pages
3
Price:
KES 400
Get Document Now
Professionally Drafted
Fully Customizable
12,000+ Happy Customers
Instant Delivery
Document Overview
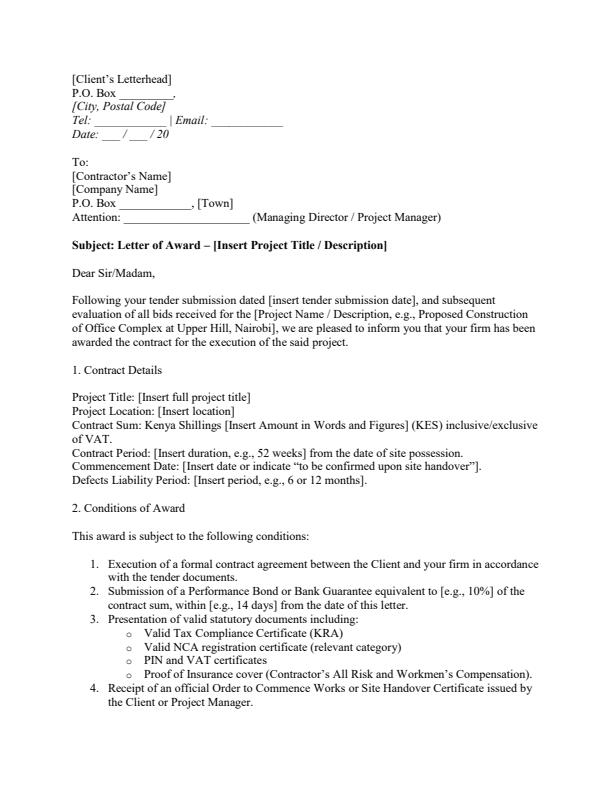
A Letter of Award (LOA) is a formal document issued by a Client, Developer, or Procuring Entity to a successful contractor, officially confirming that their tender or bid for a construction project has been accepted. It marks the beginning of the contractual relationship between the client and the contractor before the formal signing of the contract agreement. The LOA specifies key details such as the project name, contract sum, duration, commencement conditions, and requirements like performance bonds and insurance.
Purposes:
To formally notify the successful contractor that their tender has been accepted.
To outline the project details, contract sum, and commencement conditions.
To require submission of performance bonds, insurance, and statutory documents.
To establish the basis for signing the formal contract agreement.
To authorize preparation for mobilization and site handover.
Key Components:
Title and Reference – Identifies the project and tender reference number.
Client and Contractor Details – Names, addresses, and contact information.
Project Information – Project name, location, and description.
Contract Sum – Stated in both words and figures (KES).
Contract Period and Commencement Date – Duration and start conditions.
Conditions of Award – Requirements such as performance bond, insurances, and compliance
Document Preview Below
Purchase now
to receive the complete document instantly.
Preview
End of Preview
Purchase now
to access the complete document.
Related Legal Documents
Daily Construction Report Template
A Daily Construction Report is a site record used by contractors, engineers, or supervisors to document daily activities, workforce, materials,...
Project Progress Report Template
A Project Progress Report is a formal document summarizing the status of a construction project over a specific reporting period. Purposes: To...
View All Documents
Share this document with your network
Get this document instantly
Get Now