AI Legal Chatbot
Documents
Cases
Laws
Law Firms
Add Law Firm
LPMS
Quizzes
Login
Join
Affidavit for Post-Mortem/Autopsy Waiver
Affidavit
Affidavit Template - Action Required
This is a professionally drafted affidavit template only. You must have it sworn and stamped by a Commissioner for Oaths or Notary Public after purchase.
Document Type
Microsoft Word (Editable)
Pages
1
Price:
KES 400
Get Document Now
After download, take this document to a Commissioner for Oaths or Notary Public for swearing and stamping.
Professionally Drafted
Fully Customizable
12,000+ Happy Customers
Instant Delivery
Document Overview
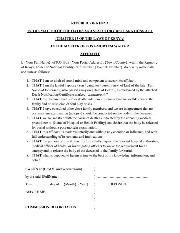
An Affidavit for Autopsy Waiver is a formal sworn statement made by the next of kin or close relative of a deceased person requesting that no post-mortem (autopsy) be performed on the body.
It is made under the Oaths and Statutory Declarations Act (Cap 15, Laws of Kenya) and is sworn before a Commissioner for Oaths or Magistrate.
By signing it, the family member confirms that:
1. They are the lawful next of kin (spouse, parent, child, or sibling).
2. They understand the cause of death and do not suspect foul play.
3. They consent to waive the post-mortem examination and want the body released for burial.
Document Preview Below
Purchase now
to receive the complete document instantly.
Preview
End of Preview
Purchase now
to access the complete document.
Related Legal Documents
Affidavit in Support of Borehole Drilling Permit Application
An Affidavit in Support of Borehole Drilling Permit Application is a sworn statement made before a Commissioner for Oaths by an individual, company,...
Affidavit for Proof of Ownership of Phone Number on Ardhisasa
An Affidavit for Proof of Ownership of Phone Number is a sworn legal statement made by a person to declare and confirm that a specific phone number...
View All Documents
Share this document with your network
Get this document instantly
Get Now