AI Legal Chatbot
Documents
Cases
Laws
Law Firms
Add Law Firm
LPMS
Quizzes
Login
Join
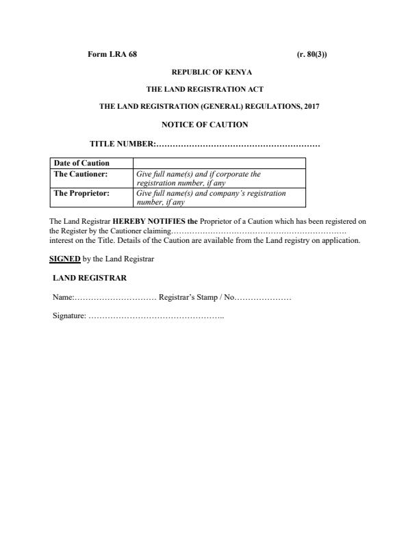
Form LRA 68 - Notice of Caution
Document Type
Microsoft Word (Editable)
Pages
1
Price:
KES 300
Get Document Now
Professionally Drafted
Fully Customizable
12,000+ Happy Customers
Instant Delivery
Document Overview
It is the official notification issued by the Land Registrar to the registered proprietor of land informing them that a caution has been lodged against their title. A caution is a restriction placed on the register to prevent dealings with the land without the consent of the cautioner.
The form includes:
1. Title number of the affected land.
2. Date of caution.
3. Name/details of the cautioner.
4. Name/details of the proprietor.
5. Statement from the Land Registrar confirming that a caution has been registered and specifying the nature of the interest claimed.
6. Signature and stamp of the Land Registrar
Document Preview Below
Purchase now
to receive the complete document instantly.
Preview
End of Preview
Purchase now
to access the complete document.
Related Legal Documents
Form LRA 69 - Withdrawal of Caution
It is the official instrument used by a cautioner to formally withdraw a caution previously registered against land. A caution is a restriction on...
Form LRA 70 - Application to Remove Caution
It is the official application form used by a party (other than the cautioner) to request the removal of a caution registered against land. Unlike...
Form LRA 71 - Notice of Intention to Remove a Caution
It is an official notice issued by the Registrar of Lands when an application has been made to remove a caution that was previously registered against...
Form LRA 72 - Notice of Objection to Removal of a Caution
This is a legal notice filed by a cautioner (the person who lodged a caution against a land title) to object when someone applies to have that caution...
Form LRA 73 - Notice of Hearing on Application to Remove Caution
This form is issued by the Land Registrar after: A proprietor (registered owner of land) applies for the removal of a caution; and The cautioner (the...
Form LRA 74 - Order of the Registrar on an Application to Remove a Caution
This form records the final decision of the Land Registrar after an application has been made to remove a caution and, if objected to, a hearing has...
View All Documents
Share this document with your network
Get this document instantly
Get Now