AI Legal Chatbot
Documents
Cases
Laws
Law Firms
Add Law Firm
LPMS
Quizzes
Login
Join
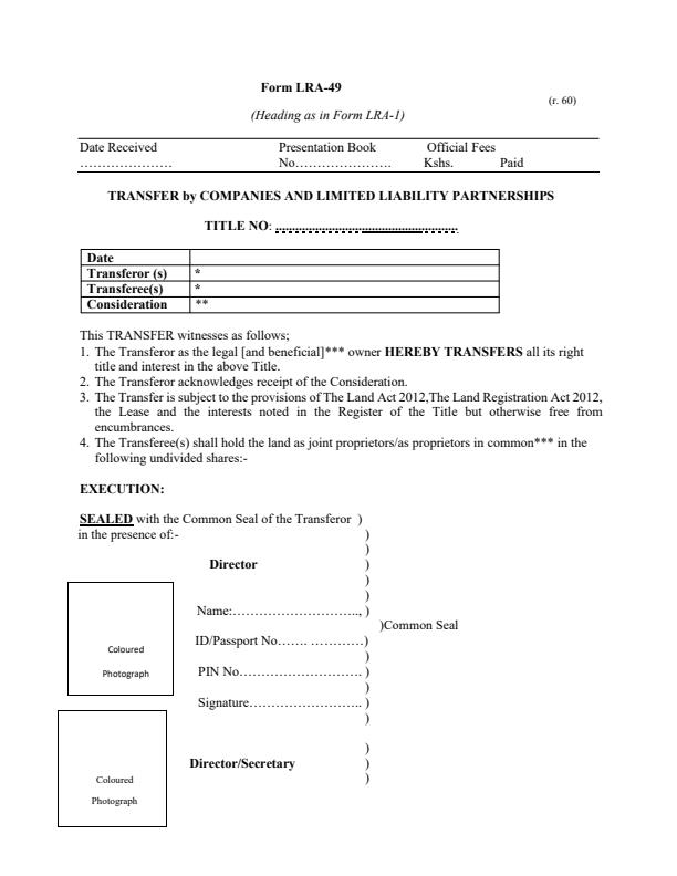
Form LRA 49 - Transfer by Companies and Limited Liability Partnerships
Document Type
Microsoft Word (Editable)
Pages
3
Price:
KES 300
Get Document Now
Professionally Drafted
Fully Customizable
12,000+ Happy Customers
Instant Delivery
Document Overview
Form LRA 49 is specifically designed for companies and limited liability partnerships (LLPs) to transfer their legal (and beneficial) ownership of land to another party.
The main purposes of this form are:
1. To legally transfer land/property from a registered company or LLP to another entity or individual.
2. To ensure that such transfers comply with the corporate governance requirements of companies and LLPs (such as sealing, directors’/secretary’s execution).
3. To protect both the transferor (company/LLP) and transferee by ensuring the transaction is properly recorded in the land register.
4. To provide a formal and verifiable record of ownership change involving corporate entities under Kenyan land law
To successfully complete and register a transfer under Form LRA 49, the following are required:
1. Property and Transaction Details
- Title number of the property being transferred.
- Date of transfer.
- Details of transferor (company/LLP) and transferee.
- Consideration (purchase price or other value).
2. Execution by Transferor (Company/LLP)
3. Execution by Transferee
4. Certification of Execution
- A certificate of verification signed by an advocate, notary, or other authorized officer, confirming that the parties appeared before them, were identified, and signed voluntarily.
5. Registrar’s Endorsement
- Registration, seal, and official signature of the Land Registrar to complete the transfer
Document Preview Below
Purchase now
to receive the complete document instantly.
Preview
End of Preview
Purchase now
to access the complete document.
Related Legal Documents
Form LRA 50 - Application to Be Registered as Proprietor by Transmission
Form LRA 50 is a statutory application used when a person seeks to be registered as the new proprietor of land by transmissio-that is, through...
Form LRA 51 - Application to Be Registered as a Trustee
Form LRA 51 is a statutory application form used when a person or entity applies to the Land Registrar to be formally registered as a trustee in...
Form LRA 52 - Transfer of Land by a Trustee
It is used when a trustee formally transfers land or property they hold in trust to a transferee (which may be a beneficiary, purchaser, or other...
Form LRA 53 - Charge
It is used when a landowner (the Chargor) formally gives their land as security to a lender (the Chargee) for a loan or other financial...
Form LRA 54 - Informal Charge
An informal charge is a type of land-based security where the Chargor (landowner) deposits title documents or otherwise charges their interest in land...
Form LRA 55 - Consent for Second or Subsequent Charge
It is used when a property already has an existing charge (mortgage/loan security), and the chargor (borrower/landowner) seeks to create a second or...
View All Documents
Share this document with your network
Get this document instantly
Get Now